Linear Algebra 5th Edition Chapter 2 Linear Transformations and Matrices
Page 96 Exercise 1 Answer
Given: statement is, If A is a square matrix and Aij=δij for all i and j, then
⇒ A=I.
We have,
δij={0,i≠j1,i=j

So, in the case of matrices, we interpret it as [δij]={aij=0,i≠jaij=1,i=j.
So,herefore, the given statement is true.
In view of linear transformation it is confirmed that, If A is a square matrix and Aij=δij for all i and j, then A=I statement is true.
Linear Algebra 5th Edition Chapter 2 Page 97 Exercise 2 Answer
Read and Learn More Stephen Friedberg Linear Algebra 5th Edition Solutions



Stephen Friedberg Linear Algebra 5th Edition Solutions For Exercise 2.3 Linear Algebra 5th Edition Chapter 2 Page 96 Exercise 3 Answer




Linear Algebra 5th Edition Chapter 2 Page 97 Exercise 4 Answer
Given,
⇒ g(x)=3+x
⇒ T: P2
⇒ (R)→P2
⇒ (R)T(f(x))=f′
⇒ (x)g(x)+2f(x)
⇒ U: P2
⇒ (R)→R3
⇒ U(a+bx+cx2)=(a+b,c,a−b)
⇒ β={1,x,x2}
⇒ γ={(1,0,0),(0,1,0),(0,0,1)}
To compute [U]βγ,[T]β, and [UT]βγ.
Verify the result using Theorem 2.11.

Represent U(T(f(x))), U and T in matrix form.
Compute [U]βγ,[T]β, and [UT]βγ.
Using the Theorem 2.11, verify [UT]αγ=[U]βγ[T]αβ.
Given,
⇒ g(x)=3+x
⇒ T:P2(R)→P2(R)T(f(x))=f′(x)g(x)+2f(x)
⇒ U:P2(R)→R3U(a+bx+cx2)=(a+b,c,a−b)
⇒ β={1,x,x2}
⇒ γ={(1,0,0),(0,1,0),(0,0,1)}
Let, f(x)=a+bx+cx2∈P2(R)
Then,
⇒ T(f(x))=(b+2cx)(3+x)+2(a+bx+cx2)
=3b+6cx+bx+2cx2+2a+2bx+2cx2
=(2a+3b)+(3b+6c)x+(4c)x2
This implies,U(T(f(x)))=(2a+3b)+(3b+6c)x+(4c)x2
Representing U(T(f(x))) in matrix form,
⇒ UT(1)=(2,0,2)
⇒ UT(2)=(6,0,0)
⇒ UT(3)=(6,4,−6)

Linear Algebra 5th Edition Chapter 2 Page 97 Exercise 5 Answer
In the question, it is given that: g(x)=3+x
⇒ h(x)=3−2x+x2
⇒ T:P2(R)→P2(R)T(f(x))=f′(x)g(x)+2f(x)
⇒ U:P2(R)→R3U(a+bx+cx2)=(a+b,c,a−b)
⇒ β={1,x,x2}γ={(1,0,0),(0,1,0),(0,0,1)}
To Find: [h(x)]β and [U(h(x))]γ. Verify the result using Theorem.
First, calculate U(h(x)) and [h(x)]β.
Then verify the Theorem 2.14.
Given,
⇒ g(x)=3+x
⇒ h(x)=3−2x+x2
⇒ T:P2(R)→P2(R)T(f(x))=f′(x)g(x)+2f(x)
⇒ U:P2(R)→R3U(a+bx+cx2)=(a+b,c,a−b)
⇒ β={1,x,x2}
⇒ γ={(1,0,0),(0,1,0),(0,0,1)}
Now,
⇒ U(h(x))=U(3−2x+x2)=(1,1,5)
Representing U(h(x)) in matrix form,[U(h(x))]γ=
[1]
[1]
[5]
Also, representing [h(x)]βin matrix form,
[h(x)]β=[3−21] .. (1)
Therefore, the following have been computed[h(x)]β=
[3]
[−2]
[1]
[U(h(x))]γ=
[1]
[1]
[5]
And the Theorem 2.14 is verified.

Exercise 2.3 Linear Transformations Solved Examples Chapter 2 Page 97 Exercise 6 Answer
Given, T be a linear transformation and
A=
(1)
(−1)
(4)
(6).
To compute [T(A)]α.

Obtain [T]α.
Using Theorem 2.14 compute [T(A)]α.

Therefore, using theorem 2.14,
[T(A)]α=
[1]
[−1]
[4]
6].
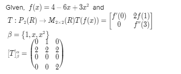
Linear Algebra 5th Edition Chapter 2 Page 97 Exercise 7 Answer
Given, T be a linear transformation andf(x)=4−6x+3×2.
To compute [T(f(x))]α.
Obtain [T]βα.
Using Theorem 2.14 compute [T(f(x))]α.


Therefore, using theorem 2.14,[T(f(x))]α=
[−6]
[2]
[0]
6].
Linear Algebra 5th Edition Chapter 2 Page 97 Exercise 8 Answer
In the question, it is given that T be a linear transformation and A=
(1)
(2)
(3)
(4).
To Find: [T(A)]γ.
First obtain [T]αγ.
Then, use Theorem 2.14 to compute [T(A)]γ.
GivenA=
(1)
(2)
(3)
)4) and
T: M2×2
(F)→FT(A)=tr(A)γ={1}[T]αγ=
(1)
(0)
(0)
1).
Using Theorem 2.14,
[T(A)]γ=[T]αγ[A]α
Therefore, using theorem 2.14,
[T(A)]γ=(5).
Linear Algebra 5th Edition Chapter 2 Page 97 Exercise 9 Answer
In the question, it is given that T be a linear transformation and f(x)=4−6x+3×2.
To Find: [T(f(x))]γ.
Obtain [T]βγ.
Using Theorem 2.14 compute [T(f(x))]γ.
Given, f(x)=6−x+2×2 and T:P2(R)→RT(f(x))=f(2)
βγ=
[1]
[2]
[4]
Using Theorem 2.14,
⇒ [T(f(x))]γ=[T]βγ[f(x)]β
=[124]⋅[6−12]
=[12]
Therefore, using theorem 2.14,
[T(f(x))]γ=[12].
Linear Algebra Friedberg Exercise 2.3 Step-By-Step Solutions Chapter 2 Page 98 Exercise 10 Answer
Given, A be an m×n matrix, B and C be n×p matrices and D and E be q×m matrices.
To complete the proof of Theorem 2.12 and its corollary.




To prove the Theorem 2.12 (a), (b) and (d).
Prove corollary of Theorem 2.12.
So, (D+E)A=DA+EA.
So, A(i=1∑kaiBi)=i=1∑kaiABi and
(i=1∑kaiCi)A=i=1∑kaiCiA.
Linear Algebra 5th Edition Chapter 2 Page 98 Exercise 11 Answer
Proving Theorem 2.13(b).Given, A be an m×n matrix and B be an n×p matrix. For each j(1≤j≤p) let uj and vj denote the jth columns of AB and B, respectively.
To prove Theorem 2.13(b).
Given, A be an m×n matrix and B be an n×p matrix. For each j(1≤j≤p) let uj and vj denote the jth columns of AB and B, respectively.
This implies,vj
=[B1j]
[B2j]
⋮
[Bnj]
Representing the elements of vj as,
⇒ B1j=0⋅B11+0⋅B12+…0⋅B1j−1+1⋅B1j+0⋅B1j+1+…+0⋅B1n
⇒ B2j=0⋅B21+0⋅B22+…0⋅B2j−1+1⋅B2j+0⋅B2j+1+…+0⋅B2n
⋮
⇒ Bnj
=0⋅Bn1+0⋅Bn2+…0⋅Bnj−1+1⋅Bnj+0⋅Bnj+1+…+0⋅Bnn

Therefore, vj=Bej where ej is the jth standard vector of Fp is proved.
Linear Algebra 5th Edition Chapter 2 Page 98 Exercise 12 Answer
In the question, it is given that A be an m × n matrix with entries from F .
Then the left-multiplication transformation LA: Fn → Fm is linear. Furthermore, if B is any other m × n matrix (with entries from F ) and β and γ are the standard ordered bases for Fn and Fm, respectively.
We are asked to prove Theorem 2.15(c) and 2.15(d).
Use the definition of left multiplication transformation.
Given, A be an m × n matrix with entries from F .
Then the left-multiplication transformation LA : Fn → Fm is linear.
Furthermore, if Bis any other m × n matrix (with entries from F ) and β and γ are the standard ordered bases for Fn and Fm , respectively.
From the definition,
LA+B(x)=(A+B)x=Ax+Bx=LA(x)+LB(x)
Also,
LaA(x)=(aA)x=a{Ax}=a{LA(x)}=aLA(x)
Therefore,LA+B=LA+LB and LaA=aLA for all a∈F
Consider, LIn(x)=Inx=x .. (1)
By the definition of left – multiplication transformation.
Using the identity transformation,
IFn(x)=x .. (2) Where, IFn is the identity transformation on the vector space Fn.
Therefore, from equations (1) and (2),
LIn=IFn
Therefore, Theorem 2.15(c) and Theorem 2.15(d) has been proved.
Exercise 2.3 Matrices Examples Friedberg Chapter 2 Page 98 Exercise 13 Answer
Given, V be a vector space. Let T,U1,U2∈L(V).
To prove Theorem 2.10 and giving a more general result.
Proving Theorem 2.10using a more general result involving linear transformations with domains unequal to their codomains.
Given, V be a vector space. Let T,U1,U2∈L(V).
From, T(U1+U2)=TU1+TU2 it implies,
(T(U1+U2))(x)=T(U1(x)+U2(x))(T(U1+U2))(x)=T(U1(x))+T(U2(x))(T(U1+U2))(x)=(TU1+TU2)(x)
Therefore, T(U1+U2)=TU1+TU2
And (U1+U2)T=U1T+U2T it implies,
(U1+U2)T(x)=U1(Tx)+U2(Tx)(U1+U2)T(x)=(U1T)(x)+(U2T)(x)(U1+U2)T(x)=(U1T+U2T)(x)
Therefore, (U1+U2)T=U1T+U2T
Now,
T(U1U2)(x)=T(U1(U2(x)))T(U1U2)(x)=(TU1)(U2(x))T(U1U2)(x)=(TU1)U2(x)
Therefore, T(U1U2)=(TU1)U2.
Clearly,
TI(x)=T(I(x))
TI(x)=T(x)
So, TI=T
Also, IT(x)=I(T(x))
=T(x)
This implies, IT=T
Therefore, TI=IT=T
Consider,
a(U1U2)(x)=aU1(U2(x))a(U1U2)(x)=(aU1)(U2(x))a(U1U2)(x)=((aU1)U2)(x)
Therefore, a(U1U2)=(aU1)U2
Also,U1(aU2)(x)=U1(aU2(x))U1(aU2)(x)=(aU1)(U2(x))U1(aU2)(x)=a(U1U2)(x)
Therefore, a(U1U2)=(aU1)U2=U1(aU2)
For a more general result the Theorem is stated as,Put V,U,W to be vector spaces over the field K.
Assuming that the following mappings are linear, F:V→U,F′:V→U and G:U→W,G′:U→W.
For every scalar a∈K,
G(F+F′)=GF+GF′
(G+G′)F=GF+G′F
a(GF)=(aG)F=G(aF)
Therefore, the Theorem 2.10 is proved and a more general result is stated as,
Put V,U,W to be vector spaces over the field K.
Assuming that the following mappings are linear, F:V→U,F′:V→U and G:U→W,G′:U→W.
For every scalar a∈K,
G(F+F′)=GF+GF′
(G+G′)F=GF+G′F
a(GF)=(aG)F
=G(aF)
Linear Algebra 5th Edition Chapter 2 Page 98 Exercise 14 Answer
In the question, it is given that UT=T0 (the zero transformation) but
TU≠T0
Also, AB=O but BA≠O.
We are aske to find the linear transformations and matrices A and B.
First obtain linear transformations U,T.
Them using the linear transformations find the matrices A and B.
Given, UT=T0 (the zero transformation) but
TU≠T0.
Also, AB=O but BA≠O.

Therefore, the linear transformations,
UT=U(T(x,y))
=U(x,0)
=(0,0)
=T0
And
TU=T(U(x,y))
=T(y,y)
=(y,0)
≠T0
Also, the matrices

Linear Algebra 5th Edition Chapter 2 Page 98 Exercise 15 Answer
Given, A be an n×n matrix.
To prove A is a diagonal matrix if and only if Aij=δijAij for all i and j.
Consider when A is a diagonal mabtrix and show Aij=δijAij for all i and j.
Suppose when A is not a diagonal matrix and prove A is a diagonal matrix.
Given, A be an n×n matrix.
Consider A is a diagonal matrix,
Then, Aij={ Aij,I=j0,I≠j}
Aij={1.Aij,i=j0.Aij,i≠j}
Aij=δij
Aij for all i,j
Suppose that A is not a diagonal matrix,
There exist i,j,i≠j such that
Aij≠0
⇒0≠Aij
⇒0=0⋅Aij
0=0
This implies, A is a diagonal matrix.
Therefore, A is a diagonal matrix if and only if Aij=δijAij for all i and j is proved.
Exercise 2.3 Botes From Friedberg Linear Algebra 5th Edition
Page 98 Exercise 16 Answer
In the question, it is given that V be a vector space and let T:V→V be linear.
We are asked to prove T2=T0 if and only if R(T)⊆N(T).
Consider T2=T0 and prove R(T)⊆N(T) using the definition of null space.
Conversely prove T2=T0 using the definition of null space.
Given, V be a vector space and let T:V→V be linear.
Consider, T2=T0
As T0 is the zero transformation for every x∈V.
Since, T:V→V is the linear transformation this implies,
T(x)∈R(T) for every x∈V .. (1)
Applying T again,
T(T(x))=T2(x).
By hypothesis, T(T(x))=0.
Using the definition of null space,
T(x)∈N(T) for T(T(x))=0 .. (2)
From equations (1) and (2),
T(x)∈R(T)
⇒T(x)∈N(T)
Again, from the hypothesis,
T2(x)=0 for every x∈V we get,
T(T(x))=0
T(x)∈N(T)
Therefore, R(T)⊆N(T)
Conversely, assume
R(T)⊆N(T) .. (3)
And obtain x∈V
T(x)=0 .. (4)
Which is the definition for zero transformation and x∈V
⇒T(x)∈R(T)
From equation (3),
T(x)∈N(T)
Using the definition of null space,
T(T(x))=0
T2(x)=0 for all x∈V .. (5)
From equations (4) and (5),
T2=T0
Therefore, T2=T0 if and only if R(T)⊆N(T) is proved.
Linear Algebra 5th Edition Chapter 2 Page 98 Exercise 17 Answer
Given: Let V,Wand Z be vector spaces, and let T: V → W and U:W →Z be linear.
Prove that if UT is one-to-one, then T is one-to-one. Must U also be one-to-one.
Assume that UT is one to one. We have to prove that T is one-to-one and whether U is one-to-one.
We will use the following example: Define U:R3→R2 such that U(a,b,c)= (a,b).
Assume that UT is one to one. We have to prove that T is one-to-one and whether U is one-to-one.
T(x)=T(y),x,y∈V
Since, the transformation U:W→Z is well-defined, and T(x),T(y)∈W
We have
U(T(x))=U(T(y))
(UT)(x)=(UT)(y)
x=y.
So it holds
x,y∈V,
T(x)=T(y)
x=y
Then the linear transformation T is one-to-one.
In the case when UT is one to one then U may not be one-to-one.
We will use the following example: Define U:R3→R2 such that U(a,b,c)= (a,b). And, define T:R2→R3 such that
T(a,b)=(a,b,0)
So
(UT)(a,b)=U(T(a,b))
=U(a,b,0)
=(a,b).
Since, UT is the identity function, it is linear and one-to-one.
kerU={(a,b,c):U(a,b,c)=0}
kerU={(a,b,c):(a,b)=(0,0)}
kerU={(a,b,c):a=0,b=0}
kerU={(0,0,c)}
From kerU≠{0}, the transformation U is not one-to-one.
The transformation U is not one-to-one.
Examples Of Exercise 2.3 In Friedberg Linear Algebra
Linear Algebra 5th Edition Chapter 2 Page 98 Exercise 18 Answer
In the question, it is given that V,W and Z be vector spaces, and let T: V → W and U:W →Z be linear.
We are asked to prove that if UT is onto, then U is onto. Must T also be onto.
Suppose that UT is one to one. Then prove that T is one-to-one and whether U is one-to-one.
Use the following example: Define U:R3→R2 such that U(a,b,c)= (a,b).
Assume that UT is onto. We have to prove that U is onto and whether T is onto.
As U:W→Z is a function, take z∈Z.

From T:V→W, and U:W→Z, the transformation UT:V→Z is a function too.
Since UT is onto, z∈Z, there exist v∈V such that
(UT)(v)…(1)
T:V→W is well-defined so for v∈V,
T(v)=w∈W
From(1),
U(T(v))=z
U(w)=z
So for z∈Z, there exists w∈W such that
U(w)=z
The transformation U is not one-to-one.
Linear Algebra 5th Edition Chapter 2 Page 98 Exercise 19 Answer
Given: Let V,W and Z be vector spaces, and let T: V → W and U:W →Z be linear.
Prove that if T and U also be one-to-one and onto, then UT is also.
Let’s consider U:W→Z which is one-to-one and onto and T:V→W which is one-to-one and onto.
We have to show that UT:V→Z is also one-to-one and onto.
We will use the following example: Define U: R3→R2 such that U(a,b,c)=(a,b).
Let’s consider U:W→Z which is one-to-one and onto and T:V→W which is one-to-one and onto.
We have to show that UT:V→Z is also one-to-one and onto. Let (UT)(x)=(UT)(y),x,y∈V
Then we have
U(T(x))=U(T(y))
T(x)=T(y)
x=y
So for
x,y∈V,(UT)(x)=(UT)(y)⇒x=y
So UT:V→Z is one-to-one.
Let, z∈Z, since U:W→Z is onto, there exists w∈W such that U(w)=z
Since T:V→W is onto, w∈W, there exists v∈V such that T(v)=w
By substituting
T(v)=w in
U(w)=z we get
U(T(v))=z
(UT)(v)=z
So for, z∈Z, there is v∈V such that (UT)(v)=z
This implies UT:V→Z is onto.
Hence, UT: V→Z is one-to-one and onto when U: W→Z and T: V→W are one-to-one and onto.
The transformation UT is one-to-one and onto.